Statistical Machine Learning

Clustering Methods

Prof. Jodavid Ferreira

UFPE

The Challenge of

Unsupervised Learning



  • Until now, we have been concerned supervised learning methods such as regression and classification.

  • In the supervised setting, we typically have:
    • A set of \(p\) features \(\mathbf{x}_1 = \{X_{11}, X_{12}, \ldots, X_{1p}\}\).
    • A response \(Y\).
    • All measured on \(n\) observations.

  • The goal is to predict \(Y\) using \(X_1, X_2, \ldots, X_p\).

The Challenge of

Unsupervised Learning



  • Unsupervised learning focuses on settings where we only have a set of features \(\mathbf{x}_i = \{X_{i1}, X_{i2}, \ldots, X_{ip}\}\) measured on \(n\) observations (\(i = 1, \ldots, n\)).

  • We are not interested in prediction, because we do not have an associated response variable \(Y\).

  • Rather, the goal is to discover interesting things about the measurements on \(\mathbf{x}_i = \{X_{i1}, X_{i2}, \ldots, X_{ip}\}\).

The Challenge of

Unsupervised Learning



  • Key questions in Unsupervised Learning:
    • Is there an informative way to visualize the data?
    • Can we discover subgroups among the variables or among the observations?

  • Unsupervised learning refers to a diverse set of techniques for answering questions such as these.

  • This chapter will focus on two particular types:
    • Clustering: Discovering unknown subgroups in data.
    • Principal Components Analysis (PCA): Data visualization or pre-processing.

The Challenge of

Unsupervised Learning: Difficulties



  • Unsupervised learning is often much more challenging than supervised learning.

  • The exercise tends to be more subjective, with no simple goal like prediction.

  • Often performed as part of an exploratory data analysis.

  • Hard to assess results: No universally accepted mechanism for cross-validation or validating results on an independent data set.

  • Why? In supervised learning, we can check predictions against the known response. In unsupervised learning, we don’t know the “true answer”.

The Challenge of

Unsupervised Learning: Applications



  • Despite the challenges, unsupervised learning is of growing importance.

  • Cancer research: Identify subgroups among breast cancer samples or genes for better disease understanding.

  • Online shopping: Identify groups of shoppers with similar browsing/purchase histories, recommend items.

  • Search engines: Display tailored search results based on click histories of similar individuals.

  • These and many more statistical learning tasks can be performed via unsupervised learning techniques.

What is Clustering?



  • Clustering refers to a very broad set of techniques for finding subgroups, or clusters, in a data set.

  • When we cluster the observations of a data set, we seek to partition them into distinct groups so that:
    • Observations within each group are quite similar to each other.
    • Observations in different groups are quite different from each other.

  • The definition of “similar” or “different” is often a domain-specific consideration based on knowledge of the data.

Clustering vs. PCA




  • Both clustering and Principal Component Analysis (PCA) seek to simplify the data via a small number of summaries.


  • However, their mechanisms are different:
    • PCA looks to find a low-dimensional representation of the observations that explain a good fraction of the variance.
    • Clustering looks to find homogeneous subgroups among the observations.

Applications of Clustering



  • Biology / Medicine:
    • Identifying unknown subtypes of breast cancer from tissue samples with gene expression measurements.
    • Discovering structure (distinct clusters) in a data set without prior labels.


  • Marketing:
    • Performing market segmentation by identifying subgroups of people who might be more receptive to a particular form of advertising or more likely to purchase a product.

K-Means Clustering

Introduction



  • K-Means clustering is a simple and elegant approach for partitioning a data set into \(K\) distinct, non-overlapping clusters.


  • To perform K-Means clustering, we must first specify the desired number of clusters \(K\).


  • The K-Means algorithm then assigns each observation to exactly one of the \(K\) clusters.

K-Means Clustering

Objective Function


  • Let \(C_1, \ldots, C_K\) denote sets containing the indices of the observations in each cluster.
  • These sets satisfy two properties:
    1. \(C_1 \cup C_2 \cup \dots \cup C_K = \{1, \ldots, n\}\). Each observation belongs to at least one cluster.
    2. \(C_k \cap C_{k'} = \emptyset\) for all \(k \neq k'\). Clusters are non-overlapping.
  • The idea behind K-Means clustering is that a good clustering is one for which the within-cluster variation is as small as possible.
  • We want to solve the problem: \[ \min_{C_1, \ldots, C_K} \sum_{k=1}^K W(C_k) \] where \(W(C_k)\) is a measure of the amount by which observations within cluster \(C_k\) differ from each other.

K-Means Clustering

Within-Cluster Variation



  • The most common choice for within-cluster variation is based on squared Euclidean distance: \[ W(C_k) = \frac{1}{|C_k|} \sum_{i,i' \in C_k} \sum_{j=1}^p (x_{ij} - x_{i'j})^2 \] where \(|C_k|\) denotes the number of observations in the \(k\)-th cluster.


  • This formula represents the sum of all pairwise squared Euclidean distances between observations in the \(k\)-th cluster, divided by the total number of observations in that cluster.

K-Means Clustering

Optimization Problem



  • Combining the objective function with the definition of within-cluster variation, the K-Means optimization problem is: \[ \min_{C_1, \ldots, C_K} \sum_{k=1}^K \frac{1}{|C_k|} \sum_{i,i' \in C_k} \sum_{j=1}^p (x_{ij} - x_{i'j})^2 \]


  • This is a very difficult problem to solve precisely due to the huge number of possible partitions.

The K-Means Algorithm

Steps


  • A simple iterative algorithm is used to find a local optimum for the K-Means optimization problem.
  1. Random Assignment: Randomly assign a number, from 1 to \(K\), to each of the observations. These serve as initial cluster assignments.

  2. Iterate until cluster assignments stop changing:

    1. Compute Centroids: For each of the \(K\) clusters, compute the cluster centroid. The \(k\)-th cluster centroid is the vector of the \(p\) feature means for the observations in the \(k\)-th cluster. \[ \bar{x}_{kj} = \frac{1}{|C_k|} \sum_{i \in C_k} x_{ij} \]
    2. Assign Observations: Assign each observation to the cluster whose centroid is closest (using Euclidean distance).

The K-Means Algorithm

Why it Works



  • The algorithm is guaranteed to decrease the value of the objective function at each step.
  • The identity \(\frac{1}{|C_k|} \sum_{i,i' \in C_k} \sum_{j=1}^p (x_{ij} - x_{i'j})^2 = 2 \sum_{i \in C_k} \sum_{j=1}^p (x_{ij} - \bar{x}_{kj})^2\) is illuminating.
    • Step 2(a) computes cluster means that minimize the sum of squared deviations for fixed assignments.
    • Step 2(b) reallocates observations, which can only improve the objective for fixed centroids.
  • The algorithm stops when the cluster assignments no longer change, indicating a local optimum has been reached.

The K-Means Algorithm

Multiple Runs



  • Since the K-Means algorithm finds a local rather than a global optimum, the results depend on the initial (random) cluster assignment.

  • Therefore, it is important to run the algorithm multiple times from different random initial configurations.

  • Then, one selects the best solution, i.e., the one for which the objective function is smallest.

K-Means Visualization

Initial Data and Progression



  • Let’s visualize the K-Means algorithm with a simulated 2D dataset (\(n=150\)).


Figure (K=2, K=3, K=4): Shows how the clusters are formed for different values of \(K\).

Scatter plots showing 150 points in 2D space, colored by K-means cluster assignment for K=2, K=3, and K=4. The K=3 plot shows three distinct clusters.

K-Means Visualization

Algorithm Steps (K=3)



Figure: Illustrates the progression of K-Means algorithm for \(K=3\):

  • Top left: Observations.
  • Top center: Initial random assignment.
  • Top right: Centroids computed.
  • Bottom left: Observations reassigned.
  • Bottom center: New centroids.
  • Bottom right: Final result after 10 iterations.

Sequence of 6 panels showing the K-means algorithm's progression. From initial data and random assignment to final clustered result after multiple iterations, with centroids marked by large disks.

K-Means Visualization

Multiple Initializations



Figure: K-Means clustering performed six times with different random initial assignments for \(K=3\).

  • Values above each plot show the objective function.
  • Multiple local optima are obtained. The best solution (lowest objective, \(235.8\)) provides better separation.

Six scatter plots showing K-means clustering results for K=3 from different random initializations. The objective function value is shown above each plot, highlighting different local optima.

R Example: K-Means on Image Pixels

Goal



  • We will use K-Means to cluster the pixels of an image based on their colors (R, G, B values).

  • Each pixel will then be represented by its cluster’s centroid.

  • The number of clusters (\(K\)) will correspond to the number of colors in the resulting image.

R Example: K-Means on Image Pixels

Code - Data Preparation



library(jpeg) # For reading JPEG images
library(tibble) # For creating data frames
library(dplyr) # For data manipulation
library(ggplot2) # For plotting

# Create a dummy image for demonstration if actual image is not present
# In a real scenario, you'd replace this with your actual image path
if (!file.exists("images/JODAVID.jpg")) {
  message("images/JODAVID.jpg not found. Creating a dummy image for demonstration.")
  # Create a simple image data (e.g., 50x50, 3 channels)
  dummy_image_data <- array(runif(50*50*3), dim = c(50, 50, 3))
  # Create the directory if it doesn't exist
  if (!dir.exists("Figures")) {
    dir.create("Figures")
  }
  # Save a simple JPEG image
  writeJPEG(dummy_image_data, "images/JODAVID.jpg")
}


# Read the image
imagem <- readJPEG("images/JODAVID.jpg")

# Organize the image into a data frame (long format)
# Each row represents a pixel with its (X,Y) coordinates and RGB values
imagemRGB <- tibble(
  X = rep(1:dim(imagem)[2], each = dim(imagem)[1]),
  Y = rep(dim(imagem)[1]:1, dim(imagem)[2]), # Y-axis inverted for plotting
  R = as.vector(imagem[,,1]),
  G = as.vector(imagem[,,2]),
  B = as.vector(imagem[,,3])
)

R Example: K-Means on Image Pixels

Code - Data Preparation



R Example: K-Means on Image Pixels

Code - K-Means Application



# Specify the number of clusters (colors)
k <- 2

# Apply K-Means clustering
# We cluster the RGB values, ignoring X and Y coordinates for clustering logic
kMeans_result_k2 <- kmeans(imagemRGB[, c("R", "G", "B")], centers = k)

# Add the cluster assignment and new color (centroid color) to the data frame
imagemRGB_k2 <- imagemRGB |> 
  mutate(cluster = kMeans_result_k2$cluster) |> 
  mutate(kColours = rgb(
    kMeans_result_k2$centers[cluster, "R"],
    kMeans_result_k2$centers[cluster, "G"],
    kMeans_result_k2$centers[cluster, "B"]
  ))

# Plot the image with k=2 colors
p1 <- ggplot(imagemRGB_k2, aes(x = X, y = Y, color = I(kColours))) +
  geom_point(show.legend = FALSE, shape = 15, size = 0.1) + # Use shape 15 for square pixels
  labs(title = paste("K-Means (k =", k, "cores)")) +
  theme_minimal() +
  theme(aspect.ratio = dim(imagem)[1]/dim(imagem)[2]) + # Maintain aspect ratio
  scale_color_identity() # Use exact colors from kColours

R Example: K-Means on Image Pixels

K-Means with K=2 Colors



R Example: K-Means on Image Pixels

More Colors!



  • Let’s try with more colors, say \(K=3\), \(K=10\), and \(K=200\).
# For k=3
k <- 3
kMeans_result_k3 <- kmeans(imagemRGB[, c("R", "G", "B")], centers = k)
imagemRGB_k3 <- imagemRGB |> 
  mutate(cluster = kMeans_result_k3$cluster) |> 
  mutate(kColours = rgb(
    kMeans_result_k3$centers[cluster, "R"],
    kMeans_result_k3$centers[cluster, "G"],
    kMeans_result_k3$centers[cluster, "B"]
  ))

# Plot for k=3
p2 <- ggplot(imagemRGB_k3, aes(x = X, y = Y, color = I(kColours))) +
  geom_point(show.legend = FALSE, shape = 15, size = 0.1) +
  labs(title = paste("K-Means (k =", k, "cores)")) +
  theme_minimal() + theme(aspect.ratio = dim(imagem)[1]/dim(imagem)[2]) + scale_color_identity()

R Example: K-Means on Image Pixels

K-Means with K=10 Colors



k <- 10
kMeans_result_k10 <- kmeans(imagemRGB[, c("R", "G", "B")], centers = k)
imagemRGB_k10 <- imagemRGB |> 
  mutate(cluster = kMeans_result_k10$cluster) |> 
  mutate(kColours = rgb(
    kMeans_result_k10$centers[cluster, "R"],
    kMeans_result_k10$centers[cluster, "G"],
    kMeans_result_k10$centers[cluster, "B"]
  ))

p3 <- ggplot(imagemRGB_k10, aes(x = X, y = Y, color = I(kColours))) +
  geom_point(show.legend = FALSE, shape = 15, size = 0.1) +
  labs(title = paste("K-Means (k =", k, "cores)")) +
  theme_minimal() + theme(aspect.ratio = dim(imagem)[1]/dim(imagem)[2]) + scale_color_identity()

R Example: K-Means on Image Pixels

K-Means with K=200 Colors



k <- 200
kMeans_result_k200 <- kmeans(imagemRGB[, c("R", "G", "B")], centers = k)
imagemRGB_k200 <- imagemRGB |> 
  mutate(cluster = kMeans_result_k200$cluster) |> 
  mutate(kColours = rgb(
    kMeans_result_k200$centers[cluster, "R"],
    kMeans_result_k200$centers[cluster, "G"],
    kMeans_result_k200$centers[cluster, "B"]
  ))

p4 <- ggplot(imagemRGB_k200, aes(x = X, y = Y, color = I(kColours))) +
  geom_point(show.legend = FALSE, shape = 15, size = 0.1) +
  labs(title = paste("K-Means (k =", k, "cores)")) +
  theme_minimal() + theme(aspect.ratio = dim(imagem)[1]/dim(imagem)[2]) + scale_color_identity()

R Example: K-Means on Image Pixels

K-Means with differents Colors



The Elbow Method

Defining the Optimal K


The Elbow method is a popular heuristic to help determine the optimal number of clusters (\(K\)) for the K-Means algorithm.

How it Works:

  • It calculates the Within-Cluster Sum of Squares (WSS) for different values of \(K\) (e.g., from 1 to 10 or more).
  • WSS measures the compactness of each cluster; the lower the WSS, the more compact the clusters.
  • It then plots the WSS against \(K\).

Graph of the Elbow method showing Within-Cluster Sum of Squares (WSS) on the Y-axis versus the number of clusters (K) on the X-axis. The WSS curve decreases rapidly and then flattens, forming an 'elbow' around K=3 or K=4, which is the suggested point.

The Elbow Method

Defining the Optimal K


Identifying the Ideal \(K\):

  • As \(K\) increases, the WSS will always decrease (more clusters mean less dispersion within each).
  • One looks for the point on the curve where the rate of decrease in WSS sharply changes and starts to ‘flatten out’ – this is the ‘elbow’.
  • This point suggests that adding more clusters beyond this point does not provide a significant gain in the overall compactness of the clusters.

Considerations:

Graph of the Elbow method showing Within-Cluster Sum of Squares (WSS) on the Y-axis versus the number of clusters (K) on the X-axis. The WSS curve decreases rapidly and then flattens, forming an 'elbow' around K=3 or K=4, which is the suggested point.

  • It is a visual and subjective approach.
  • A clear “elbow” may not always be apparent.

Example: Elbow Method

Practical Application - Jodavid Image


Example: Elbow Method

Practical Application - Jodavid Image


Hierarchical Clustering

Introduction



  • One potential disadvantage of K-Means clustering is that it requires us to pre-specify the number of clusters K.

  • Hierarchical clustering is an alternative approach which does not require that we commit to a particular choice of K.

  • It results in an attractive tree-based representation of the observations, called a dendrogram.

Hierarchical Clustering

Agglomerative Approach



  • This section describes bottom-up or agglomerative clustering.

  • This is the most common type of hierarchical clustering.

  • A dendrogram is generally depicted as an upside-down tree, built starting from the leaves and combining clusters up to the trunk.

Interpreting a Dendrogram

Example Data


  • Consider a simulated data set with 45 observations in 2D space, generated from a three-class model.
  • The true class labels are shown in different colors, but we will treat them as unknown for clustering.


Figure:

  • 45 observations in 2D space.
  • Three distinct classes, shown in separate colors.
  • We will seek to cluster the observations to discover these classes.

Scatter plot of 45 observations in 2D space, colored by their true (hidden) class. Three distinct clusters are visible.

Interpreting a Dendrogram

Fusions and Similarity



  • In a dendrogram:
    • Each leaf represents one observation.
    • As we move up the tree, leaves fuse into branches. These fusions correspond to observations that are similar to each other.
    • The earlier (lower in the tree) fusions occur, the more similar the groups of observations are to each other.
    • Observations that fuse later (near the top of the tree) tend to be quite different.

  • The height of this fusion (measured on the vertical axis) indicates how different the two observations/clusters are.

Interpreting a Dendrogram

Important Caution



  • It is important to understand that the proximity of observations along the horizontal axis in a dendrogram does NOT imply similarity.

  • For any two observations, similarity is determined by the height on the vertical axis where the branches containing those two observations first fuse.

  • A dendrogram can be reordered horizontally without changing its meaning, as long as the vertical fusion heights are preserved.

Interpreting a Dendrogram

Identifying Clusters


  • To identify clusters from a dendrogram, we make a horizontal cut across the tree.
  • The distinct sets of observations beneath the cut can be interpreted as clusters.
  • The height of the cut serves the same role as \(K\) in K-Means clustering: it controls the number of clusters obtained.


Figure:

  • Left: Dendrogram.
  • Center: Cut at height 9, yielding two clusters.
  • Right: Cut at height 5, yielding three clusters.
    • Colors are for display, not used in clustering.

Three dendrograms. Left: the full dendrogram. Center: the dendrogram cut at height 9, showing two clusters. Right: the dendrogram cut at height 5, showing three clusters.

Interpreting a Dendrogram

Identifying Clusters


Three dendrograms. Left: the full dendrogram. Center: the dendrogram cut at height 9, showing two clusters. Right: the dendrogram cut at height 5, showing three clusters.

Interpreting a Dendrogram

Horizontal Axis Caution Example


  • Consider this dendrogram for 9 observations.
  • Observations 5 and 7 are very similar (fuse low). Observations 1 and 6 are also similar.
  • However, observations 9 and 2 are not necessarily similar just because they appear close horizontally. Their fusion height is higher.


Figure:

  • Left: Dendrogram with 9 observations.
  • Right: Raw data for these 9 observations.
  • Confirms that horizontal proximity is misleading; vertical fusion height determines similarity.

Left: A dendrogram for 9 observations. Right: A scatter plot of the 9 observations in 2D space. Used to illustrate that horizontal proximity in dendrograms is not a measure of similarity.

The Hierarchical Clustering Algorithm

Steps



  • The dendrogram is obtained via an extremely simple algorithm:
  1. Initialize: Begin with \(n\) observations, treating each as its own cluster. Compute all \(\binom{n}{2} = n(n-1)/2\) pairwise dissimilarities (e.g., Euclidean distance).

  2. Iterate (from \(i=n\) down to \(i=2\) clusters):

    1. Find Most Similar: Examine all pairwise inter-cluster dissimilarities among the \(i\) current clusters and identify the pair that are least dissimilar (most similar).
    2. Fuse Clusters: Fuse these two clusters into a single new cluster. The dissimilarity between these two clusters indicates the height in the dendrogram at which the fusion should be placed.
    3. Update Dissimilarities: Compute the new pairwise inter-cluster dissimilarities among the \(i-1\) remaining clusters (including the newly formed cluster).

Hierarchical Clustering

Dissimilarity Between Clusters (Linkage)



  • The algorithm requires defining how to measure the dissimilarity between two clusters if one or both contain multiple observations.


  • This is achieved by developing the notion of linkage, which defines the dissimilarity between two groups of observations.

Hierarchical Clustering

Linkage Types



  • The four most common types of linkage are:
  • Complete Linkage: Maximal inter-cluster dissimilarity. Compute all pairwise dissimilarities between observations in cluster A and cluster B, and record the largest of these dissimilarities.
  • Single Linkage: Minimal inter-cluster dissimilarity. Compute all pairwise dissimilarities between observations in cluster A and cluster B, and record the smallest of these dissimilarities. Can result in extended, trailing clusters.
  • Average Linkage: Mean inter-cluster dissimilarity. Compute all pairwise dissimilarities between observations in cluster A and cluster B, and record the average of these dissimilarities.
  • Centroid Linkage: Dissimilarity between the centroid (mean vector) for cluster A and the centroid for cluster B. Can result in undesirable inversions.

Hierarchical Clustering

Linkage Type Impact


  • Average, complete, and single linkage are most popular.
  • Average and complete linkage are generally preferred as they tend to yield more balanced dendrograms.
  • Centroid linkage can suffer from an inversion, where two clusters are fused at a height below either of the individual clusters in the dendrogram. This can hinder visualization and interpretation.

Figure:

  • Shows how different linkage methods (Average, Complete, Single) applied to the same dataset produce different dendrogram structures.
  • Average and Complete linkage tend to yield more balanced clusters.

Three dendrograms for the same dataset, generated using Average, Complete, and Single linkage. Single linkage results in a very unbalanced tree, while Average and Complete are more balanced.

Choice of Dissimilarity Measure

Euclidean vs. Correlation-based



  • Euclidean distance is commonly used.
  • However, other dissimilarity measures might be preferred depending on the application.
  • Correlation-based distance considers two observations similar if their features are highly correlated, even if their observed values are far apart in terms of Euclidean distance.
    • This is an “unusual” use of correlation, normally computed between variables. Here, it’s computed between observation profiles.
    • Focuses on the shapes of observation profiles rather than their magnitudes.

Choice of Dissimilarity Measure

Example: Shopping Data



  • Consider an online retailer clustering shoppers based on purchase histories (items purchased).

  • If Euclidean distance is used, shoppers who bought very few items overall (infrequent users) might be clustered together, regardless of what they bought. This might not be desirable.

  • If correlation-based distance is used, shoppers with similar preferences (e.g., bought items A and B but never C or D) will be clustered together, even if some shoppers are high-volume and others low-volume. This might be a better choice for understanding preferences.

Choice of Dissimilarity Measure

Illustration



Figure:

  • Three observations with 20 variables.
  • Obs 1 & 3: Similar values, small Euclidean distance, weakly correlated, large correlation-based distance.
  • Obs 1 & 2: Different values, large Euclidean distance, highly correlated, small correlation-based distance.

Line plots of three observations across 20 variables. Illustrates cases where Euclidean distance differs from correlation-based distance based on value magnitude vs. profile shape.

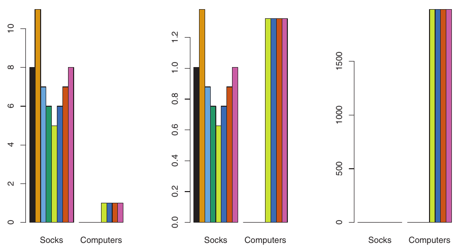
Scaling Variables

Importance



  • Another crucial consideration: Should variables be scaled to have standard deviation one before computing dissimilarity?

  • Example: Online Shopping (Socks vs. Computers)
    • A shopper buys 10 pairs of socks/year, but a computer rarely.
    • If raw values are used: Socks purchases (high frequency) will have a much larger effect on dissimilarities than computer purchases (low frequency).
    • This might be undesirable if the goal is to identify preference patterns for more valuable items like computers.

Scaling Variables

Illustration


  • If variables are scaled to have standard deviation one, each variable is given equal importance.

  • Also important when variables are measured on different scales (e.g., centimeters vs. kilometers). The choice of units can greatly affect the dissimilarity measure.

Figure:

  • Left: Raw purchases (socks dominate).
  • Center: Purchases scaled by standard deviation (computers now have greater relative effect).
  • Right: Dollars spent (computers clearly dominate due to price).
  • Clustering results will differ significantly based on these choices.

Bar plots showing purchase counts of socks and computers for 8 shoppers, under three different scaling scenarios: raw counts, counts scaled by standard deviation, and total dollars spent. Highlights the impact of scaling on variable importance.

R Example: Hierarchical Clustering

Synthetic Data for Demonstration



  • We will generate a small synthetic dataset to demonstrate hierarchical clustering, similar to the one in the Portuguese PDF.
  • This data will consist of 9 points in 2D space.
# A tibble: 9 × 3
     id    X1    X2
  <int> <dbl> <dbl>
1     1   0.1   0.4
2     2  -0.2  -0.3
3     3   0.5   0.9
4     4  -0.8  -0.7
5     5   0.7   0.1
6     6  -0.6  -0.5
7     7   0.8   0.3
8     8   0.6   0  
9     9  -0.1   1  

R Example: Hierarchical Clustering

Code - Hierarchical Clustering



  • We will use hclust for hierarchical clustering and cutree to obtain clusters.
  • dist() calculates the distance matrix.
# A tibble: 9 × 4
     id    X1    X2 cluster_h
  <int> <dbl> <dbl>     <int>
1     1   0.1   0.4         1
2     2  -0.2  -0.3         2
3     3   0.5   0.9         1
4     4  -0.8  -0.7         2
5     5   0.7   0.1         3
6     6  -0.6  -0.5         2
7     7   0.8   0.3         3
8     8   0.6   0           3
9     9  -0.1   1           1

R Example: Hierarchical Clustering

Dendrogram Visualization



  • The plot generated by plot(dendrograma) is the standard R dendrogram.

R Example: Hierarchical Clustering

Enhanced Visualization with factoextra



  • The factoextra package provides excellent tools for visualizing clustering results, including dendrograms with enhanced features.

R Example: Hierarchical Clustering

Dendrogram with 3 Clusters



Practical Issues in Clustering

Small Decisions with Big Consequences



  • When performing clustering, several decisions must be made, which can strongly impact the results:
  • Data Standardization: Should observations or features be standardized (e.g., centered to mean zero, scaled to standard deviation one)?
  • Dissimilarity Measure (Hierarchical): What dissimilarity measure should be used (e.g., Euclidean, correlation-based)?
  • Linkage Type (Hierarchical): What type of linkage should be used (e.g., complete, average, single)?
  • Number of Clusters (K-Means & Hierarchical): How many clusters should be sought (\(K\) for K-Means, or where to cut the dendrogram)?

Practical Issues in Clustering

Validating the Clusters Obtained



  • Any clustering method will produce clusters. The critical question is: Do these clusters represent true subgroups in the data, or are they simply a result of clustering the noise?

  • Robustness: If we cluster the data again after removing a random subset of observations, would we obtain similar clusters? Often, this is not the case, indicating sensitivity to perturbations.

  • P-values: Techniques exist to assign a p-value to a cluster, assessing whether there is more evidence for the cluster than expected by chance. However, there is no consensus on a single best approach.

Practical Issues in Clustering

Other Considerations



  • Both K-Means and hierarchical clustering force every observation into a cluster.

  • This might be inappropriate if some observations are outliers that do not truly belong to any subgroup.

  • Mixture models are an attractive approach that can accommodate outliers and offer a “soft” version of K-Means clustering, where observations can belong to multiple clusters with certain probabilities.

Final Thoughts



  • Clustering is a powerful tool for discovering hidden structures in unlabeled data.

  • Choosing the right clustering method, dissimilarity measure, linkage type, and number of clusters is crucial and often application-specific.

  • Careful validation and consideration of practical issues like outliers and data perturbations are essential for meaningful results.

References



Basics

  • Aprendizado de Máquina: uma abordagem estatística, Izibicki, R. and Santos, T. M., 2020, link: https://rafaelizbicki.com/AME.pdf.

  • An Introduction to Statistical Learning: with Applications in R, James, G., Witten, D., Hastie, T. and Tibshirani, R., Springer, 2013, link: https://www.statlearning.com/.

  • Mathematics for Machine Learning, Deisenroth, M. P., Faisal. A. F., Ong, C. S., Cambridge University Press, 2020, link: https://mml-book.com.

References



Complementaries